Задать свой вопрос
*более 50 000 пользователей получили ответ на «Решим всё»
Задача 47061
Задание 2 Решить задачу Коши 3y^2 dy =...
Условие
vk306899767
2020-04-14 12:44:33
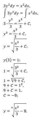
Задание 2 Решить задачу Коши
3y^2 dy = x^2 dx, y(3) = 1
математика ВУЗ
760
Решение
u821511235
2020-04-14 16:59:52
★
Написать комментарий
Категория
Дифференциальные уравнения
Уравнения с разделяющимися переменными
Меню
Решим всё
Найти задачу
Категории
Статьи
Тесты
Архив задач
Присоединяйся в ВК