Задать свой вопрос
*более 50 000 пользователей получили ответ на «Решим всё»
Задача 47037
Найти площади фигур , ограниченных...
Условие
vk193649148
2020-04-14 11:13:02
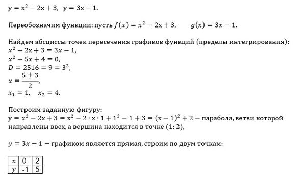
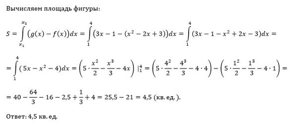
Найти площади фигур , ограниченных линиями
предмет не задан
618
Все решения
u821511235
2020-04-14 12:07:05
Написать комментарий
Меню
Решим всё
Найти задачу
Категории
Статьи
Тесты
Архив задач
Присоединяйся в ВК