Задать свой вопрос
*более 50 000 пользователей получили ответ на «Решим всё»
Задача 47005
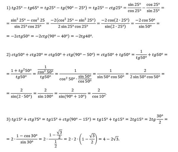
Преобразуйте выражение 1) tg 25 ° - tg...
Условие
tema555
2020-04-14 06:31:28
Преобразуйте выражение 1) tg 25 ° - tg 65 °
2) ctg 50 ° + ctg 20 °
3 tg 15 ° + ctg 75 °
математика 8-9 класс
5465
Все решения
u821511235
2020-04-14 08:16:21
Написать комментарий
Меню
Решим всё
Найти задачу
Категории
Статьи
Тесты
Архив задач
Присоединяйся в ВК