Задать свой вопрос
*более 50 000 пользователей получили ответ на «Решим всё»
Задача 46983
4. Вычислить интеграл. [m]...
Условие
vk226434676
2020-04-13 21:04:21
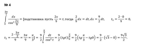
4. Вычислить интеграл.
[m] \int_0^{3\pi/2} \frac{dx}{\cos^2 \left( \frac{2x}{9} \right)} [/m]
математика
627
Решение
u821511235
2020-04-13 21:23:54
★
Написать комментарий
Меню
Решим всё
Найти задачу
Категории
Статьи
Тесты
Архив задач
Присоединяйся в ВК