Задать свой вопрос
*более 50 000 пользователей получили ответ на «Решим всё»
Задача 46980
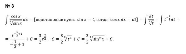
Помогите решить номер 3...
Условие
vk226434676
2020-04-13 21:02:50
Помогите решить номер 3
математика
633
Решение
u821511235
2020-04-13 21:24:12
★
Написать комментарий
Меню
Решим всё
Найти задачу
Категории
Статьи
Тесты
Архив задач
Присоединяйся в ВК