Задать свой вопрос
*более 50 000 пользователей получили ответ на «Решим всё»
Задача 46979
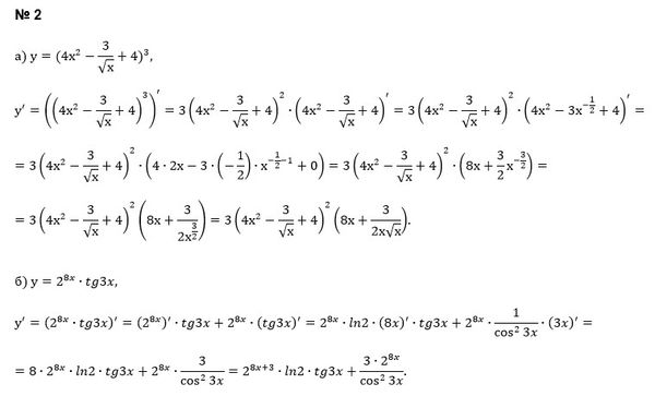
Помогите решить номер 2 ...
Условие
vk226434676
2020-04-13 21:01:51
Помогите решить номер 2
математика
572
Решение
u821511235
2020-04-13 21:33:41
★
Написать комментарий
Меню
Решим всё
Найти задачу
Категории
Статьи
Тесты
Архив задач
Присоединяйся в ВК