Задать свой вопрос
*более 50 000 пользователей получили ответ на «Решим всё»
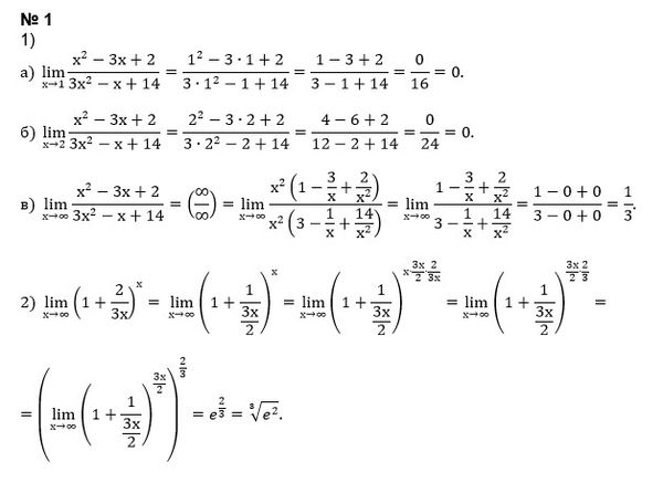
Задача 46978
Помогите решить на 1 задание ...
Условие
vk226434676
2020-04-13 21:01:09
Помогите решить на 1 задание
математика
576
Решение
u821511235
2020-04-13 21:28:26
★
Написать комментарий
Меню
Решим всё
Найти задачу
Категории
Статьи
Тесты
Архив задач
Присоединяйся в ВК