Задать свой вопрос   *более 50 000 пользователей получили ответ на «Решим всё»

Задача 4693 Найдите площадь четырехугольника,...

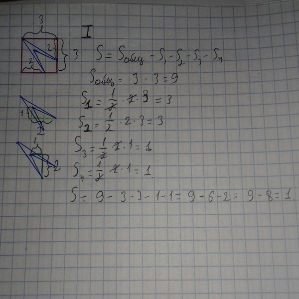
Условие

Найдите площадь четырехугольника, изображенного на клетчатой бумаге с размером клетки 1 см х 1 см (см. рис.). Ответ дайте в квадратных сантиметрах.

математика 10-11 класс 11072

Решение

Площадь четырехугольника (в том числе невыпуклого) равна половине произведения диагоналей на синус угла между ними. Диагонали изображенного на рисунке четырехугольника являются взаимно перпендикулярными диагоналями квадратов со стороной 1. Поэтому длины диагоналей равны , а синус угла между ними равен 1. Тем самым, площадь четырехугольника равна 1.

Вопросы к решению (1)

Все решения

Достраиваем до квадрата!

в четвертом действии (6+2) в скобках, естественно

Написать комментарий

Меню

Присоединяйся в ВК