Задать свой вопрос
*более 50 000 пользователей получили ответ на «Решим всё»
Задача 46860
...
Условие
will234
2020-04-13 11:52:10
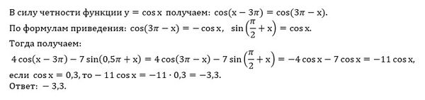
Помогите найти значение выражения:
4cos(x-3π)-7sin(0,5π+x), если cos x = 0,3.
математика 10-11 класс
3903
Решение
u821511235
2020-04-13 12:38:13
★
Написать комментарий
Меню
Решим всё
Найти задачу
Категории
Статьи
Тесты
Архив задач
Присоединяйся в ВК