Задать свой вопрос
*более 50 000 пользователей получили ответ на «Решим всё»
Задача 46793
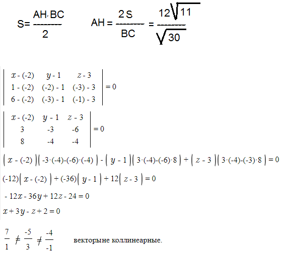
Помогите пожалуйста решить задачу 3.6...
Условие
vk295929291
2020-04-12 19:15:48
Помогите пожалуйста решить задачу 3.6
математика ВУЗ
656
Решение
sova
2020-04-12 19:42:10
★
Написать комментарий
Меню
Решим всё
Найти задачу
Категории
Статьи
Тесты
Архив задач
Присоединяйся в ВК