Задать свой вопрос   *более 50 000 пользователей получили ответ на «Решим всё»

Задача 46792 Помогите пожалуйста решить задачу Коши...

Условие

Помогите пожалуйста решить задачу Коши

математика ВУЗ 645

Решение

Все решения

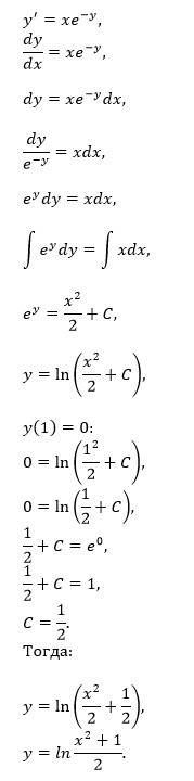
y`=dy/dx

dy/dx=xe^(-y) - уравнение с разделяющимися переменными.

e^(y)dy=xdx

Интегрируем:
∫ e^(y)dy= ∫ xdx

[b]e^(y)=x^2/2+C[/b]- общee решение

y(1)=0

подставляем
x=1
y=0

e^(0)=(1/2)+C

С=1/2

[b]e^(y)=(1/2)*(x^2+1)[/b]- частное решение

Написать комментарий

Меню

Присоединяйся в ВК