Задать свой вопрос   *более 50 000 пользователей получили ответ на «Решим всё»

Задача 46791 Какой угол образует с осью x...

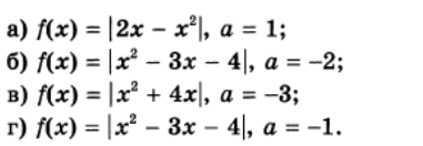
Условие

Какой угол образует с осью x касательная, проведенная к графику функции y=f(x) в точке с абсциссой x=a.

предмет не задан 820

О решение...

На нашем сайте такое бывает редко, но решение к данной задаче еще никто не написал.

Что Вы можете сделать?

  1. Выставите данный вопрос вновь. Перейдите на главную страницу.
  2. Найдите похожую задачу. Используйте поиск.

Написать комментарий

Меню

Присоединяйся в ВК