Задать свой вопрос
*более 50 000 пользователей получили ответ на «Решим всё»
Задача 46755
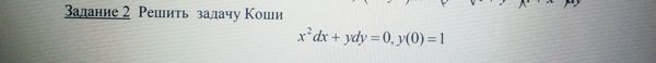
СРОЧНО Помогите решить задачу Коши...
Условие
vk280770680
2020-04-12 13:29:00
СРОЧНО Помогите решить задачу Коши
предмет не задан
721
Решение
u821511235
2020-04-12 16:49:36
★
Написать комментарий
Меню
Решим всё
Найти задачу
Категории
Статьи
Тесты
Архив задач
Присоединяйся в ВК