Задать свой вопрос
*более 50 000 пользователей получили ответ на «Решим всё»
Задача 46738
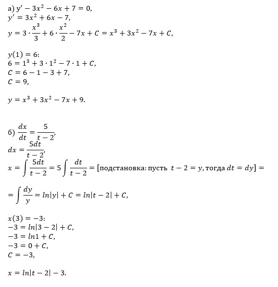
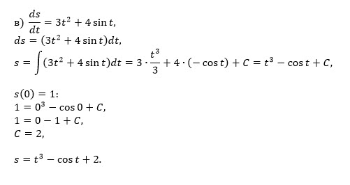
ПОМОГИТЕ ПОЖАЛУЙСТА РЕШИТЬ Б и В. СРОЧНО...
Условие
vk306899767
2020-04-12 10:15:18
ПОМОГИТЕ ПОЖАЛУЙСТА РЕШИТЬ Б и В. СРОЧНО
математика ВУЗ
613
Решение
u821511235
2020-04-12 10:37:28
★
Написать комментарий
Меню
Решим всё
Найти задачу
Категории
Статьи
Тесты
Архив задач
Присоединяйся в ВК