Задать свой вопрос   *более 50 000 пользователей получили ответ на «Решим всё»

Задача 46724 Найдите общее решение дифференциального...

Условие

Найдите общее решение дифференциального уравнения.

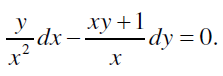
y/x2dx–xy+1/xdy=0

математика ВУЗ 1341

Решение

Уравнение вида
P(x;y)dx+Q(x;y)dy=0

[m]\frac{y}{x^2}dx-(y+\frac{1}{x})dy=0[/m]

[m]P(x;y)= \frac{y}{x^2}[/m]

[m]Q(x;y)=-(y+\frac{1}{x})[/m]

[m]\frac{ ∂ P}{ ∂y}=\frac{ ∂ Q}{ ∂ x}=\frac{1}{x^2}[/m]

Уравнение в полных дифференциалах

Написать комментарий

Категория

Меню

Присоединяйся в ВК