Задать свой вопрос
*более 50 000 пользователей получили ответ на «Решим всё»
Задача 46719
2. Найти производные, пользуясь...
Условие
vk306899767
2020-04-11 18:07:27
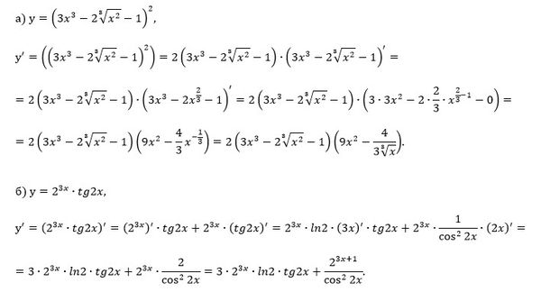
2. Найти производные, пользуясь правилами и формулами дифференцирования.
математика ВУЗ
584
Решение
u821511235
2020-04-12 07:44:14
★
Написать комментарий
Меню
Решим всё
Найти задачу
Категории
Статьи
Тесты
Архив задач
Присоединяйся в ВК