Задать свой вопрос   *более 50 000 пользователей получили ответ на «Решим всё»

Задача 46678 Найти общее решение неоднородного...

Условие

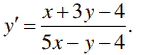
Найти общее решение неоднородного дифференциального уравнения
Если можно покажите подробно
y'=x+3y-4/5x-y-4

математика ВУЗ 954

Решение

Сделаем замену переменной:
x+m=u
y+n=v

x=u-m
y=v-n

dy=dv
dx=du

Тогда уравнение принимает вид:

dv/du=[m]\frac{u-m+3v-3n-4}{5u-5m-v+n-4}[/m]

пусть
-m-3n-4=0
-5m+n-4=0
m=-1; n=-1 ⇒

[b]x-1=u
y-1=v[/b]


Тогда
[m]\frac{dv}{du}=[m]\frac{u+3v}{5u-v}[/m]

[m]\frac{dv}{du}=\frac{1+3\frac{v}{u}}{5-\frac{v}{u}}[/m]

Получили однородное уравнение вида

v`= φ ([m]\frac{v}{u}[/m])

Замена
[m]\frac{v}{u}=t[/m]

[m]v=tu[/m]

[m]dv=tdu+udt[/m]


[m]\frac{tdu+udt}{du}=\frac{1+3t}{5-t}[/m]

[m]udt=(1+3t-5t+t^2)du[/m] - уравнение с разделяющимися переменными

[m]\frac{dt}{(t-1)^2}=\frac{du}{u}[/m]

[m]\int \frac{dt}{(t-1)^2}=\int \frac{du}{u}[/m]

[m]-\frac{dt}{t-1}=ln|u|+lnC[/m] - общее решение, где

[m]\frac{v}{u}=t[/m]

[m]x-1=u[/m]
[m]y-1=v[/m]





Написать комментарий

Меню

Присоединяйся в ВК