Задать свой вопрос   *более 50 000 пользователей получили ответ на «Решим всё»

Задача 46514 ...

Условие

1. Найти пределы функций.

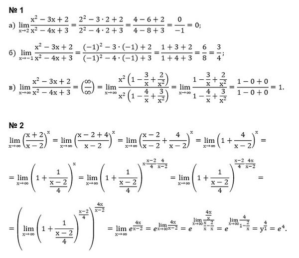
1) lim x→x₀ (x² - 3x + 2) / (x² - 4x + 3), а) x₀ = 2; б) x₀ = -1; в) x₀ = ∞.
2) lim x→∞ ((x + 2) / (x - 2))^x.

математика ВУЗ 1060

Решение

Все решения

1.
a)
[m]=\lim_{x \to 2 }\frac{x^2-3x+2}{x^2-4x+3}=\frac{2^2-3\cdot 2+2}{2^2-4*2+3}=\frac{0}{-1}=0[/m]

б)
Уточните, -1 или 1

(-1) неинтересно, это как в а)
[m]=\lim_{x \to -1 }\frac{x^2-3x+2}{x^2-4x+3}=\frac{(-1)^2-3\cdot(-1)+2}{(-1)^2-4*(-1)+3}=\frac{1+3+2}{1+4+3}=\frac{3}{4}[/m]

[b]А вот при x=1[/b]



[m]=\lim_{x \to 1 }\frac{x^2-3x+2}{x^2-4x+3}=[/m]

[b]Неопределенность (0/0)[/b]

Раскладываем на множители и числитель и знаменатель:

[m]=\lim_{x \to 1}\frac{(x-1)(x-2)}{(x-1)(x-3)}=[/m]

сокращаем на (х-1)
[m]=\lim_{x \to 1}\frac{x-2}{x-3}=\frac{0}{-2}=0[/m]

в).
[m]=\lim_{x \to \infty }\frac{x^2-3x+2}{x^2-4x+3}=[/m]
Неопределенность ( ∞ / ∞ )
Делим числитель и знаменатель на x^2:

[m]=\lim_{ \to \infty }\frac{\frac{x^2-3x+2}{x^2}}{\frac{x^2-4x+3}{x^2}}=[/m]

Делим почленно, те каждое слагаемое числителя делим на x^2 и
каждое слагаемое знаменателя делим на x^2:

[m]\lim_{ \to \infty }\frac{\frac{x^2}{x^2}-\frac{3x}{x^2}+\frac{2}{x^2}}{\frac{x^2}{x^2}-4\frac{x}{x^2}+\frac{3}{x^2}}=[/m]

[m]\lim_{ \to \infty }\frac{1-\frac{3}{x}+\frac{2}{x^2}}{1-\frac{4}{x}+\frac{}{x^2}}=\frac{1-0+0}{1-0+0}=1[/m]


2)
см. второй замечательный предел

[m]\lim_{x \to\infty}(\frac{x+2}{x-2})^{x}=[/m]

Делим числитель и знаменатель дроби [m]\frac{x+2}{x-2}[/m] на х


[m]=\lim_{x \to\infty}\frac{(1+\frac{2}{x})^{x}}{(1-\frac{2}{x})^{x}}=

\frac{e^{2}}{e^{-2}}=e^{2-(-2)}=e^{4}[/m]

Написать комментарий

Меню

Присоединяйся в ВК