Задать свой вопрос   *более 50 000 пользователей получили ответ на «Решим всё»

Задача 46463 ...

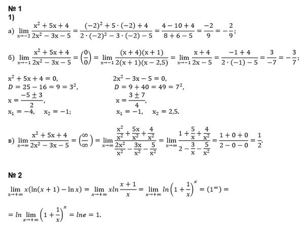
Условие

1. Найти пределы функций.
1) lim x→x0 (x² + 5x + 4)/2x² - 3x - 5 , a) x₀ = -2; б) x₀ = -1; в) x₀ = ∞. 2) lim x→+∞ x [In(x + 1) - In x]

предмет не задан 628

Решение

Написать комментарий

Меню

Присоединяйся в ВК