Задать свой вопрос
*более 50 000 пользователей получили ответ на «Решим всё»
Задача 46459
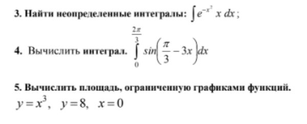
Помогите решить 5-е задание ...
Условие
vk280770680
2020-04-09 07:06:31
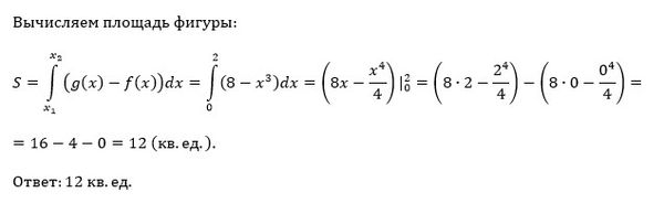
Помогите решить 5-е задание
предмет не задан
610
Решение
u821511235
2020-04-09 07:09:57
★
Написать комментарий
Меню
Решим всё
Найти задачу
Категории
Статьи
Тесты
Архив задач
Присоединяйся в ВК