Задать свой вопрос
*более 50 000 пользователей получили ответ на «Решим всё»
Задача 46454
...
Условие
vk182613015
2020-04-09 05:18:41
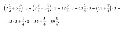
(7 1/2+5 3/4)×3
предмет не задан
568
Все решения
u821511235
2020-04-09 07:03:29
Написать комментарий
Меню
Решим всё
Найти задачу
Категории
Статьи
Тесты
Архив задач
Присоединяйся в ВК