Задать свой вопрос
*более 50 000 пользователей получили ответ на «Решим всё»
Задача 46453
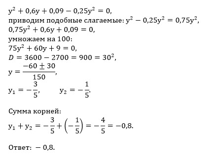
Реши уравнение: y2+0,6y+0,090,25y2=0. В...
Условие
vk324249701
2020-04-09 04:32:59
Реши уравнение: y2+0,6y+0,09−0,25y2=0. В ответ запиши сумму его корней.
Срочно!!!
математика 6-7 класс
3021
Все решения
u821511235
2020-04-09 06:00:06
Написать комментарий
Меню
Решим всё
Найти задачу
Категории
Статьи
Тесты
Архив задач
Присоединяйся в ВК