Задать свой вопрос
*более 50 000 пользователей получили ответ на «Решим всё»
Задача 46450
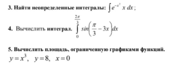
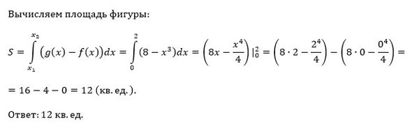
Помогите пожалуйста решить 3,4,5 Срочно...
Условие
vk267309506
2020-04-09 00:36:58
Помогите пожалуйста решить
3,4,5
Срочно надо
математика ВУЗ
592
Все решения
u821511235
2020-04-09 07:09:22
Написать комментарий
Меню
Решим всё
Найти задачу
Категории
Статьи
Тесты
Архив задач
Присоединяйся в ВК