Задать свой вопрос
*более 50 000 пользователей получили ответ на «Решим всё»
Задача 46423
5. Вычислить площадь, ограниченную...
Условие
vk44971277
2020-04-08 17:02:49
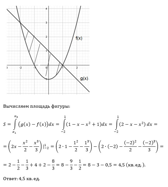
5. Вычислить площадь, ограниченную графиками функций.
[m] y = x^2 - 1, y = 1 - x [/m]
математика ВУЗ
651
Решение
u821511235
2020-04-08 21:49:21
★
Написать комментарий
Меню
Решим всё
Найти задачу
Категории
Статьи
Тесты
Архив задач
Присоединяйся в ВК