Задать свой вопрос
*более 50 000 пользователей получили ответ на «Решим всё»
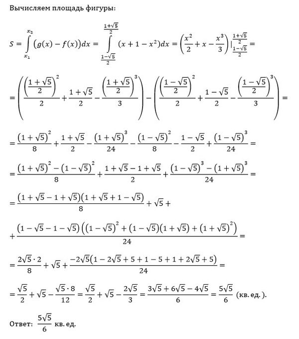
Задача 46411
Помогите решить пожалуйста задание ...
Условие
vk280770680
2020-04-08 16:04:59
Помогите решить пожалуйста задание
предмет не задан
602
Решение
u821511235
2020-04-08 21:01:52
★
Написать комментарий
Меню
Решим всё
Найти задачу
Категории
Статьи
Тесты
Архив задач
Присоединяйся в ВК