Задать свой вопрос
*более 50 000 пользователей получили ответ на «Решим всё»
Задача 46405
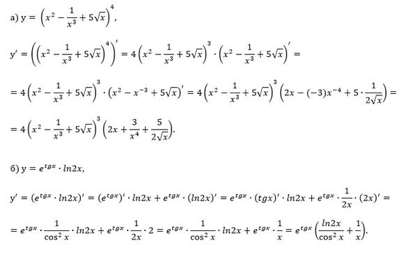
Помогите решить пожалуйста задание ...
Условие
vk492803606
2020-04-08 16:02:48
Помогите решить пожалуйста задание
предмет не задан
631
Решение
u821511235
2020-04-08 20:09:49
★
Написать комментарий
Меню
Решим всё
Найти задачу
Категории
Статьи
Тесты
Архив задач
Присоединяйся в ВК