Задать свой вопрос
*более 50 000 пользователей получили ответ на «Решим всё»
Задача 46381
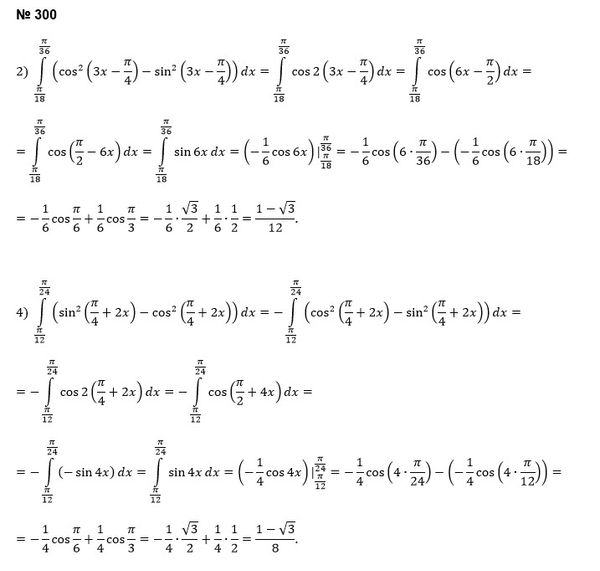
Помогите пожалуйста, со 2 и 4...
Условие
vk341360282
2020-04-08 12:08:01
Помогите пожалуйста, со 2 и 4 задачкой(номер 300)
математика 10-11 класс
474
Решение
u821511235
2020-04-08 12:38:53
★
Написать комментарий
Меню
Решим всё
Найти задачу
Категории
Статьи
Тесты
Архив задач
Присоединяйся в ВК