Задать свой вопрос
*более 50 000 пользователей получили ответ на «Решим всё»
Задача 46375
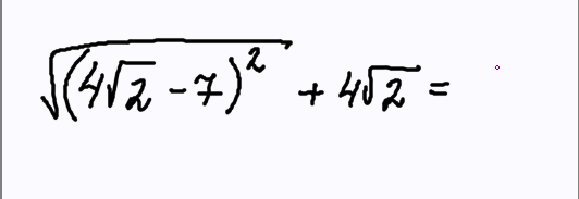
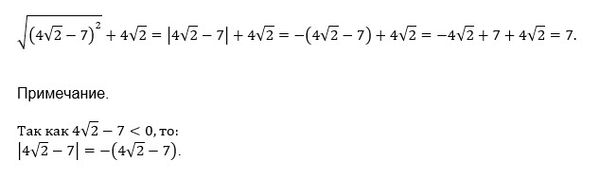
Помогите решить данный пример,...
Условие
julia486
2020-04-08 11:20:00
Помогите решить данный пример, пожалуйста :)
Буду ооочень благодарна
математика 8-9 класс
597
Все решения
u821511235
2020-04-08 13:57:14
Написать комментарий
Меню
Решим всё
Найти задачу
Категории
Статьи
Тесты
Архив задач
Присоединяйся в ВК