Задать свой вопрос
*более 50 000 пользователей получили ответ на «Решим всё»
Задача 46374
...
Условие
vk306899767
2020-04-08 11:10:28
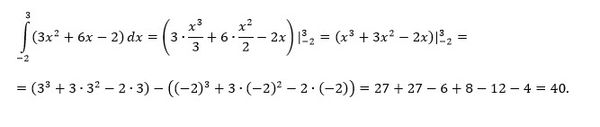
Задание 4. Вычислить определенный интеграл ∫ (3x² + 6x - 2) dx
математика ВУЗ
572
Решение
u821511235
2020-04-08 11:41:09
★
Написать комментарий
Меню
Решим всё
Найти задачу
Категории
Статьи
Тесты
Архив задач
Присоединяйся в ВК