Задать свой вопрос
*более 50 000 пользователей получили ответ на «Решим всё»
Задача 46346
Найдите все значения x, при которых...
Условие
saffsg
2020-04-07 23:56:15
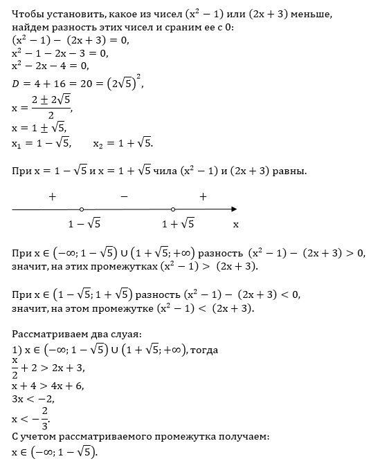
Найдите все значения x, при которых число (x/2)+2 больше наименьшего из чисел x^2-1 и 2x+3
математика
953
Решение
u821511235
2020-04-08 07:21:20
★
Написать комментарий
Меню
Решим всё
Найти задачу
Категории
Статьи
Тесты
Архив задач
Присоединяйся в ВК