Задать свой вопрос   *более 50 000 пользователей получили ответ на «Решим всё»

Задача 46334 ...

Условие

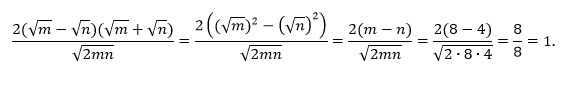
Найди значение выражения m = 8 и n = 4

2(√m - √n)(√m + √n) / √2mn = ☐

математика 10-11 класс 551

Решение

Все решения

О т в е т. 2

(sqrt(m)-sqrt(n))*(sqrt(m)+sqrt(n))=(sqrt(m))^2-(sqrt(n))^2=m-n


2*(m-n)=2*(8-4)=2*4=8


sqrt(2*m*n)=sqrt(2*8*4)=sqrt(64)=8

О т в е т. 8/8=[b]1[/b]

Написать комментарий

Меню

Присоединяйся в ВК