Задать свой вопрос   *более 50 000 пользователей получили ответ на «Решим всё»

Задача 46315 Решите пожалуйста уравнение и отберите...

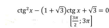
Условие

Решите пожалуйста уравнение и отберите корни из отрезка.

математика 639

Решение

ctg^2x - ctgx -sqrt(3)ctgx +sqrt(3)=0

ctgx не существует, если [b] sinx=0[/b], поэтому x ≠ πm, m ∈ Z



Сгруппируем:

(ctg^2x - ctgx) -(sqrt(3)ctgx -sqrt(3))=0


ctgx(ctgx-1) - sqrt(3) *(ctgx -1)=0

(ctgx - 1)*(ctgx - sqrt(3))=0

ctgx-1 =0 или ctgx-sqrt(3)=0

ctgx=1 или ctgx =sqrt(3)

x=[m]\frac{\pi}{4}+\pi k[/m], k ∈ Z или x=[m]\frac{\pi}{6}+\pi n[/m], n ∈ Z


О т в е т.
[m]\frac{\pi}{4}+\pi k[/m], k ∈ Z
[m]\frac{\pi}{6}+\pi n[/m], n ∈ Z


б)
[m]\frac{\pi}{4}+2\cdot \pi=\frac{\pi}{4} [/m],
[m]\frac{\pi}{6}+2\cdot \pi=\frac{13 \pi}{6} [/m].

Написать комментарий

Меню

Присоединяйся в ВК