Задать свой вопрос
*более 50 000 пользователей получили ответ на «Решим всё»
Задача 46267
...
Условие
vk226434676
2020-04-07 10:15:10
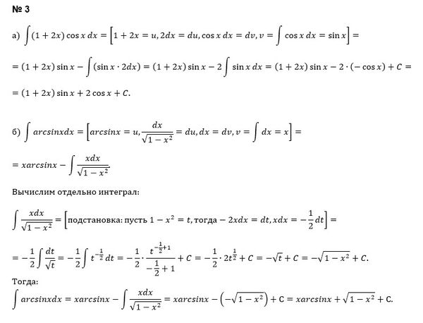
Проинтегрировать по частям.
a) ∫ (1 + 2x) cos x dx
б) ∫ arcsin x dx
математика
597
Решение
u821511235
2020-04-07 14:03:57
★
Написать комментарий
Меню
Решим всё
Найти задачу
Категории
Статьи
Тесты
Архив задач
Присоединяйся в ВК