Задать свой вопрос
*более 50 000 пользователей получили ответ на «Решим всё»
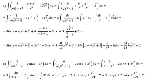
Задача 46265
Помогите решить 1 заданию...
Условие
vk226434676
2020-04-07 10:13:25
Помогите решить 1 заданию
математика
562
Решение
u821511235
2020-04-07 13:25:38
★
Написать комментарий
Меню
Решим всё
Найти задачу
Категории
Статьи
Тесты
Архив задач
Присоединяйся в ВК