Задать свой вопрос
*более 50 000 пользователей получили ответ на «Решим всё»
Задача 46259
...
Условие
marinichmasha15
2020-04-07 10:04:52
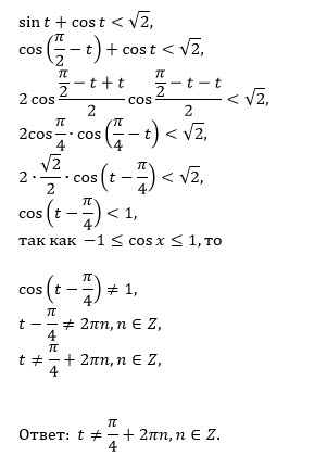
sint+cost<√2
математика 10-11 класс
517
Решение
u821511235
2020-04-07 21:10:47
★
Написать комментарий
Меню
Решим всё
Найти задачу
Категории
Статьи
Тесты
Архив задач
Присоединяйся в ВК