Задать свой вопрос
*более 50 000 пользователей получили ответ на «Решим всё»
Задача 46247
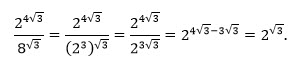
Задание на картинке...
Условие
ghyt
2020-04-07 08:41:14
Задание на картинке
предмет не задан
709
Все решения
u821511235
2020-04-07 09:29:14
Написать комментарий
Меню
Решим всё
Найти задачу
Категории
Статьи
Тесты
Архив задач
Присоединяйся в ВК