Задать свой вопрос
*более 50 000 пользователей получили ответ на «Решим всё»
Задача 46238
...
Условие
vk306899767
2020-04-07 06:54:13
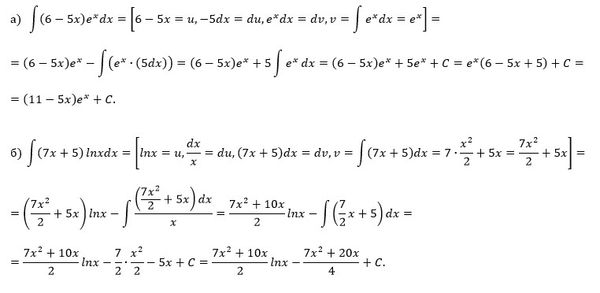
Задание 3. Проинтегрировать по частям.
а) ∫(6 - 5х)е^х dх б) ∫(7x + 5) ln x dх
математика 10-11 класс
486
Решение
u821511235
2020-04-07 07:10:19
★
Написать комментарий
Меню
Решим всё
Найти задачу
Категории
Статьи
Тесты
Архив задач
Присоединяйся в ВК