Задать свой вопрос
*более 50 000 пользователей получили ответ на «Решим всё»
Задача 46236
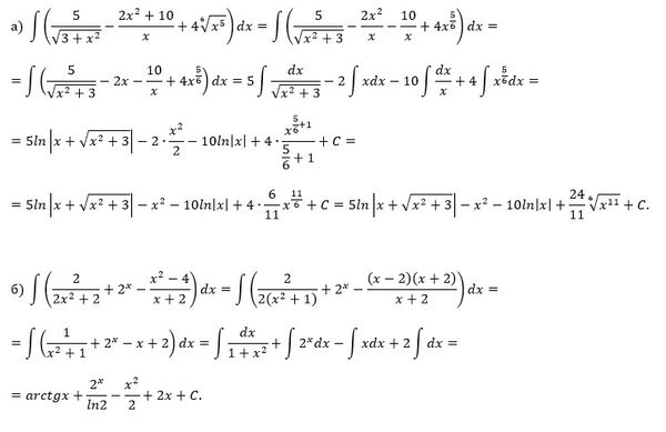
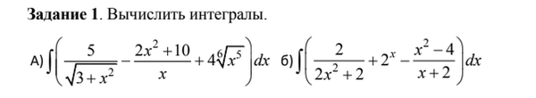
Задание 1. Вычислить интегралы. ...
Условие
vk306899767
2020-04-07 06:52:19
Задание 1. Вычислить интегралы.
математика ВУЗ
522
Решение
u821511235
2020-04-07 07:44:36
★
Написать комментарий
Меню
Решим всё
Найти задачу
Категории
Статьи
Тесты
Архив задач
Присоединяйся в ВК