Задать свой вопрос
*более 50 000 пользователей получили ответ на «Решим всё»
Задача 46232
...
Условие
lizaparashenko
2020-04-07 06:32:38
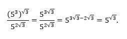
(5^3)^(√3)
-----------
5^(2√3)
математика
473
Все решения
u821511235
2020-04-07 06:40:54
Написать комментарий
Меню
Решим всё
Найти задачу
Категории
Статьи
Тесты
Архив задач
Присоединяйся в ВК