Задать свой вопрос
*более 50 000 пользователей получили ответ на «Решим всё»
Задача 46226
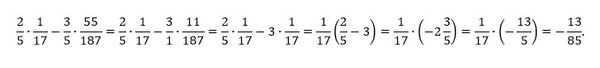
2/5*117-3/5*55/187= Это вновь дроби....
Условие
vk557737348
2020-04-06 20:41:53
2/5*117-3/5*55/187=
Это вновь дроби.
математика 1-5 класс
514
Все решения
u821511235
2020-04-06 21:04:13
Написать комментарий
Меню
Решим всё
Найти задачу
Категории
Статьи
Тесты
Архив задач
Присоединяйся в ВК