Задать свой вопрос
*более 50 000 пользователей получили ответ на «Решим всё»
Задача 46215
...
Условие
agleablanco
2020-04-06 18:41:22
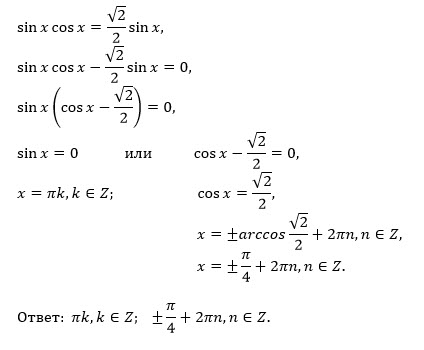
Sin(x) × cos(x) = sqrt(2)/2 × sin(x)
математика 10-11 класс
714
Решение
u821511235
2020-04-06 19:51:02
★
Написать комментарий
Меню
Решим всё
Найти задачу
Категории
Статьи
Тесты
Архив задач
Присоединяйся в ВК