Задать свой вопрос   *более 50 000 пользователей получили ответ на «Решим всё»

Задача 46210 Задание 4. Вычислить определенный...

Условие

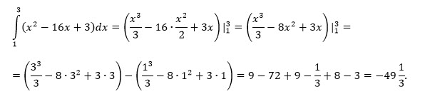
Задание 4. Вычислить определенный интеграл [m]\int_{1}^{3} (x^2 - 16x + 3) dx

предмет не задан 627

Решение

Все решения

[m]\int_{1}^{3}(x^2-16x+3)dx=(\frac{x^{3}}{3}-16\cdot \frac{x^{2}}{2}+3x)|_{1}^{3}=[/m]

[m]=(\frac{3^{3}}{3}-16\cdot \frac{3^{2}}{2}+3\cdot 3)-(\frac{1^{3}}{3}-16\cdot \frac{1^{2}}{2}+3\cdot 1)=[/m]

[m]=9-8\cdot 9+9-\frac{1}{3}+8-3=-49\frac{1}{3}[/m]

Написать комментарий

Меню

Присоединяйся в ВК