Задать свой вопрос
*более 50 000 пользователей получили ответ на «Решим всё»
Задача 46208
...
Условие
vk492803606
2020-04-06 17:39:39
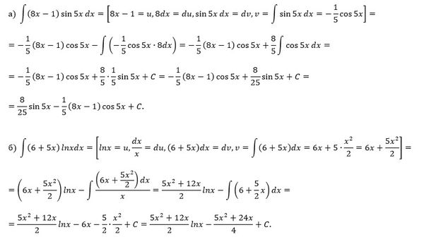
Задание 3. Проинтегрировать по частям.
a) ∫(8x-1)sin 5x dx
б) ∫(6 + 5x) ln x dx
предмет не задан
668
Решение
u821511235
2020-04-06 18:15:02
★
Написать комментарий
Меню
Решим всё
Найти задачу
Категории
Статьи
Тесты
Архив задач
Присоединяйся в ВК