Задать свой вопрос
*более 50 000 пользователей получили ответ на «Решим всё»
Задача 46199
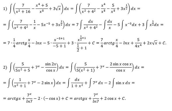
Помогите пожалуйста решить...
Условие
vk44971277
2020-04-06 17:07:35
Помогите пожалуйста решить
математика ВУЗ
554
Решение
u821511235
2020-04-06 18:52:13
★
Написать комментарий
Меню
Решим всё
Найти задачу
Категории
Статьи
Тесты
Архив задач
Присоединяйся в ВК