Задать свой вопрос
*более 50 000 пользователей получили ответ на «Решим всё»
Задача 46198
...
Условие
vk44971277
2020-04-06 17:07:02
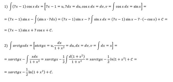
Задание 3. Проинтегрировать по частям.
1) ∫(7x-1)cos x dx ∫ arctg x dx
математика ВУЗ
578
Решение
u821511235
2020-04-06 17:19:46
★
Написать комментарий
Меню
Решим всё
Найти задачу
Категории
Статьи
Тесты
Архив задач
Присоединяйся в ВК