Задать свой вопрос
*более 50 000 пользователей получили ответ на «Решим всё»
Задача 46193
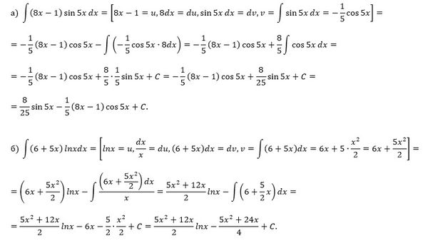
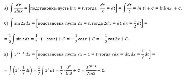
Пожалуйста помогите. Срочно надо...
Условие
vk267309506
2020-04-06 16:44:09
Пожалуйста помогите. Срочно надо
математика ВУЗ
574
Все решения
u821511235
2020-04-06 21:02:35
Написать комментарий
Меню
Решим всё
Найти задачу
Категории
Статьи
Тесты
Архив задач
Присоединяйся в ВК