Задать свой вопрос
*более 50 000 пользователей получили ответ на «Решим всё»
Задача 46192
Задание 4. Вычислить определенный...
Условие
vk267309506
2020-04-06 16:43:45
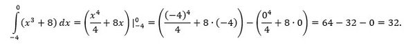
Задание 4. Вычислить определенный интеграл [m]\int_{-4}^{0}(x^3+8)dx[/m]
математика ВУЗ
540
Все решения
u821511235
2020-04-06 16:50:34
Написать комментарий
Меню
Решим всё
Найти задачу
Категории
Статьи
Тесты
Архив задач
Присоединяйся в ВК