Задать свой вопрос
*более 50 000 пользователей получили ответ на «Решим всё»
Задача 46174
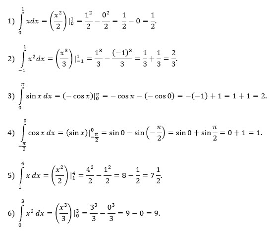
Задание на картинке...
Условие
vk67927034
2020-04-06 15:10:49
Задание на картинке
математика ВУЗ
571
Решение
u821511235
2020-04-06 17:06:30
★
Написать комментарий
Меню
Решим всё
Найти задачу
Категории
Статьи
Тесты
Архив задач
Присоединяйся в ВК