Задать свой вопрос
*более 50 000 пользователей получили ответ на «Решим всё»
Задача 46160
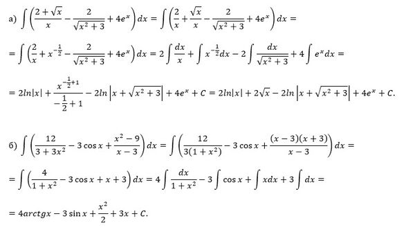
помогите решить ...
Условие
vk280770680
2020-04-06 13:48:03
помогите решить
предмет не задан
586
Решение
u821511235
2020-04-06 16:38:48
★
Написать комментарий
Меню
Решим всё
Найти задачу
Категории
Статьи
Тесты
Архив задач
Присоединяйся в ВК