Задать свой вопрос
*более 50 000 пользователей получили ответ на «Решим всё»
Задача 46155
...
Условие
vk44971277
2020-04-06 13:39:38
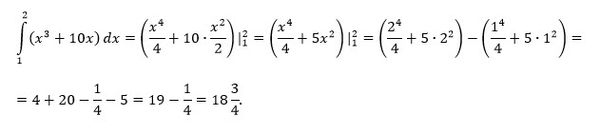
Задание 4. Вычислить определенный интеграл ∫ от 1 до 2 (x^3 + 10x) dx
математика ВУЗ
560
Решение
u821511235
2020-04-06 16:44:05
★
Написать комментарий
Меню
Решим всё
Найти задачу
Категории
Статьи
Тесты
Архив задач
Присоединяйся в ВК